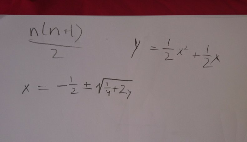
By Geeks out of the Box Posted on July 1, 2018July 18, 2018 Simon’s formula for an inverse function of quadratic polynomial Simon worked out this formula using the quadratic formula. Share this:TweetLike Loading... Related