
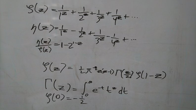
“All you need to see that eta of one is the natural log of 2 is that! Easy, right? I was joking. Proving these things is pretty damn complicated, so I am just gonna accept them and go further with those facts”.

Later Simon concluded that the above facts were not enough to prove that eta of one is the natural log of 2 and thus “either gamma of 1/2 is infinity or the Riemann hypothesis is false”.