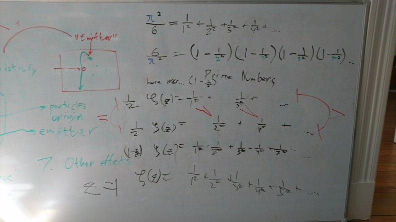
Simon often drags his sketchbook to bed to “show me the beauty”, just before I would read a bedtime story to him and his sis. Last time he showed me a short proof of why there’re infinitely many primes. He assumed there were finitely many primes first… I think he learned that from James Grime:

Pi from Prime numbers:

Powers of 2:

