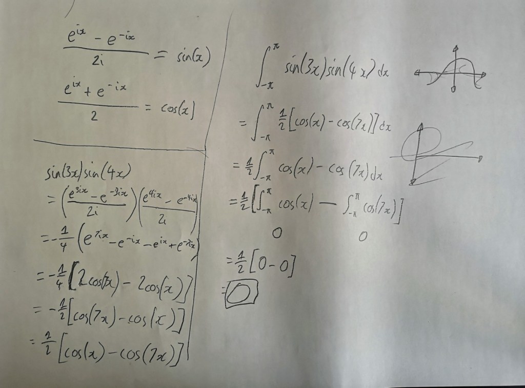
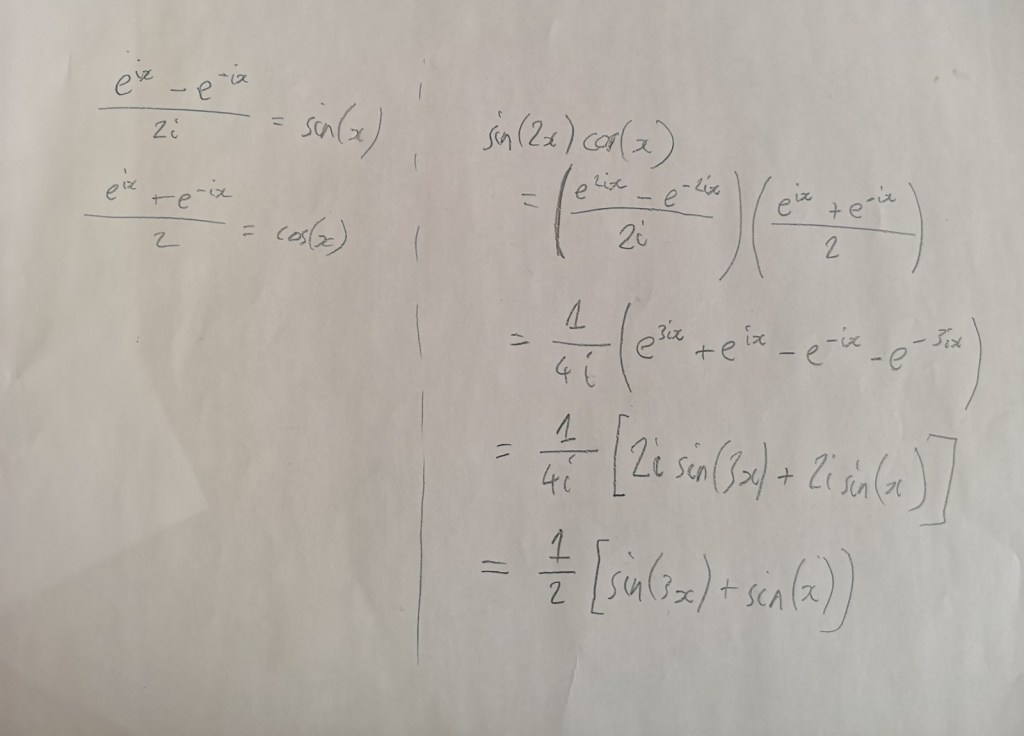
Simon’s back to the Integral Calculus course on Brilliant.org, picking up where he left off in July: trigonometric integrals. His private teacher says that in a Belgian high school, this is graduation year material. Simon evaluates the level of the assignments like the one below as somewhere between medium and hard but something he completes independently, with his teacher acting more like an observer/ peer rather than an instructor/ guide. I guess this is about here where Simon’s Zone of Proximal DevelopmentĀ lies, in Vygotsky’s terms.



