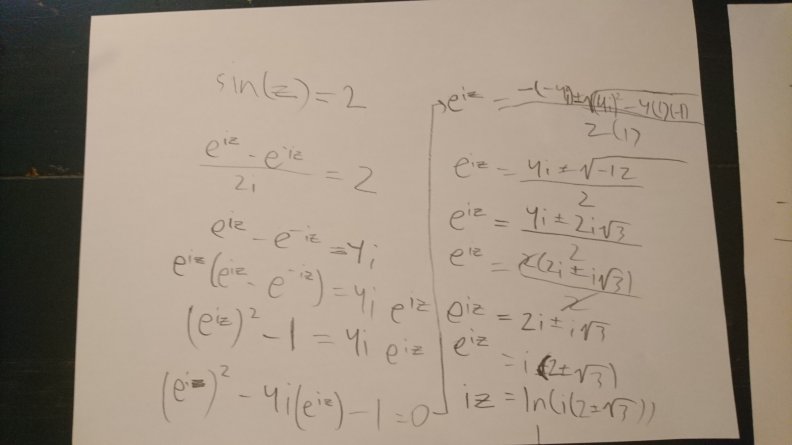
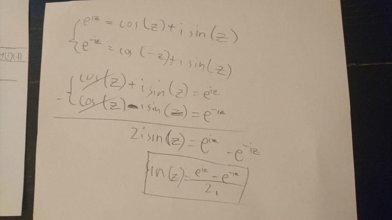
Simon found the z for sin(z) = 2 once again, to show the solution to his math tutor. He only consulted his old notes once during the whole process. He recently discovered that there’s also the sin(z) = i problem, but says it’s actually easier to solve.




