We have purchased something Simon wanted to have for months already: new software to construct the craziest 3D-supershapes! The software is pretty old, developed by Australian programmer Paul Bourke long before Simon was even born. Paul Bourke turned out to be a real person, alive and well – he promptly replied to our e-mail after we had trouble downloading our purchase.
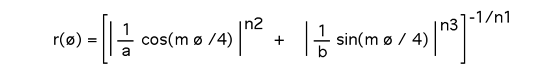
All of the supershapes are built by entering certain values in one formula:

