There’s a part 3 coming!


“Mom, my ClickCharts trial period expired, so I found this Virtual Paradigm Enterprise!” (Simon independently searches for free options to make beautiful diagrams online).
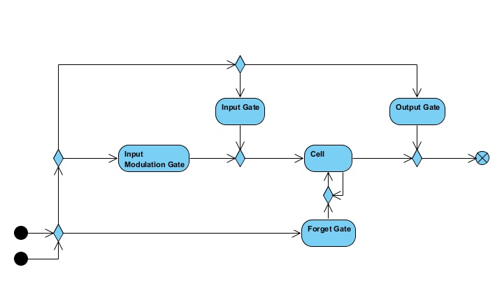
Here a diagram of an LSTM neural network:

And an RNN:
