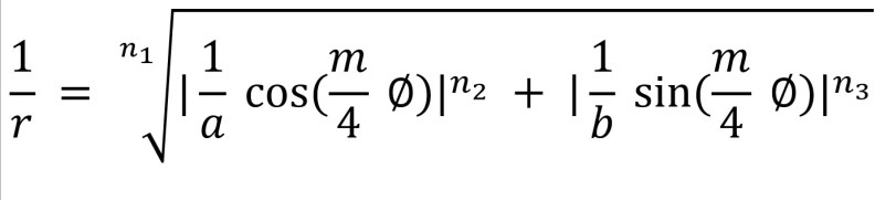
Inspired by the formulas used by Daniel Shiffman to draw phyllotactic patterns, Simon decided to get back to his old favourite. In this rather long video Simon tries to use Paul Bourke’s formula for drawing 2D-shapes in an iPad calculator app. He manages to draw a circle that way but not the other shapes because he doesn’t know how to write the index of the radical sign o a calculator. Tomorrow I’ll tell him to try this simple solution, as suggested here:
When changing from radical form to fractional exponents:
-
The nth root of a can be written as a fractional exponent with a raised to the reciprocal of that power.

Paul Bourke’s formula:
